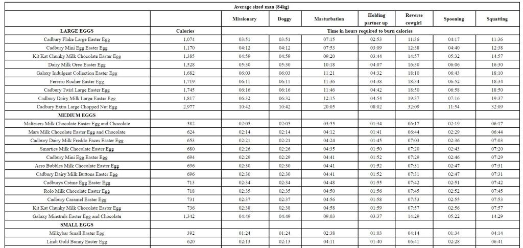
SPOILER: The Cadbury Extra Large Chopped Nut Egg weighs 545 grams and contains 2,977 calories – requiring more than a full day and night of missionary sex for a woman to burn off.
A SAVIOUR: More manageable 94 calorie Milkybar White Chocolate Bunny would take just 22 minutes of reverse cowgirl to burn the calories.
Easter you got raunchier…
New research by Search Intelligence has revealed how much bedroom action would be needed to burn off the calories from some of the top chocolate treats the country will be enjoying this Easter.
One of the most calorific options available this year is the Cadbury Extra Large Chopped Nut Egg, which weighs in at 545 grams and 2,977 calories. That means a woman of average weight (71kg) would need to have missionary sex for a massive 31 hours and 42 minutes to burn it all off. Alternatively she could try around 6 hours of aerobic dance, or more than 12 hours of sit-ups.
Meanwhile, with the missionary position typically requiring more effort from the person on top, it would take an average sized man (84kg) 11 hours of sex to burn off all of the indulgent treat. Other less erotic options include around three hours of fast running (8mph), or 12 hours of pilates.
For those looking to burn off Easter calories, a much more effective position would be squatting on top of their partner, which burns approximately 57 calories for ten minutes of action. As a result the calories from the massive Cadbury Egg would be burned after eight hours and 38 minutes of sex, but the partner would need more than 32 hours in that position to get back to zero.
The study by SEO experts Search Intelligence found that one of the most calorific “medium eggs” is the Galaxy Minstrels Easter Egg and Chocolate, which packs a 1342 calorie punch. After eating one of them, a woman of average weight would need more than five hours of sex in the reverse cowgirl position to get rid of the calories, while it would take a man 14 and a half hours in the same position.
If a couple don’t have the time or the inclination for such a marathon bedroom session, they can consider the smaller Easter treats available, such as the 94 calorie Milkybar White Chocolate Bunny, which an average woman would burn during one hour in the missionary position, or just 20 minutes for the average man. Conversely, just 22 minutes in the reverse cowgirl position would reset the cowgirl’s calorie counter, while it would take an hour for the man.
The perennial Easter favourite, a Cadbury Crème Egg, contains 177 calories, which the average woman would need an hour of spooning to burn off, or around 42 minutes in the position for the average man.
The highest calorie burning position for a couple combined is for one partner holding the other up, which for a man weighing 84kg burns nearly 62 calories in 10 minutes, and for a woman weighing the average of 71kg, just over 44 calories. That means a couple could share a 620 calorie Lindt Gold Bunny Easter Egg, and if the man eats slightly more of the calories, then they could each enjoy an hour of sex in the position to burn off all the calories.
For those who are set to celebrate Easter alone and planning to treat themselves, the Galaxy Indulgent Collection Easter Egg contains 1,682 calories, and would take an average man or woman around 20 hours of masturbation to burn the calories off.
There’s a wide variety of Easter Eggs available for shoppers, and there’s also a great range of sexual positions for couples to have the most fun possible burning off all the calories. It’s fascinating to see the differences in calorie burning depending on the position a couple is in – it’s clear that not all positions are created equal when it comes to calorie burning….
Sex and the eggs

Thank us later and have one hell of an Easter break… 😉


Leave a comment